眾所周知我國的砂石資源緊缺,而道路修建、基礎設施建設、房屋修建等都離不開砂石骨料。在這樣的形勢下,機制砂應運而生。目前全國很多地區都在生產和使用機制砂,有些地區還將工業廢渣、建筑垃圾和廢石進行加工,制成再生骨料進行再利用,使資源得到回收再利用。近年來這一行業已經成為一個既傳統又嶄新的創業領域。
近日來自山東泰安的李總致電我公司稱看到機制砂行業的快速發展,看到自己家鄉存在大量廢棄的煤矸石,想咨詢一下是否可以用煤矸石來制砂,制砂后的成品能否達到建筑用砂的標準。答案是肯定的,煤矸石的化學成分和礦物成分與機制砂的成分基本一致,因此使用煤矸石制砂是完全可行的。煤矸石雖然是采煤、洗煤過程中排放的一種固體廢物,但因其存儲量多,易于破碎加工處理,且經制砂設備處理后的煤矸石大小顆粒均勻,抗壓、滲透性也比較好,完全可替代天然砂石用于當下嚴苛的建筑用砂作業中,在當下人工制砂工藝中也有著較高的使用率。
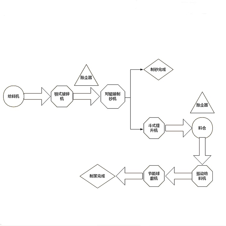
針對李總的煤矸石原料大?。?00mm),以及時產量的要求(100T),我們為其設計了煤矸石制砂方案,需要使用到的設備有給料機、顎式破碎機、對輥制砂機等。另外李總還提到在煤矸石制砂完成后想進一步將其制作成漿,需要使用到的后續設備有斗式提升機、料倉、振動給料機、節能球磨機等。大家都知道石料在制砂過程中難免會產生大量灰塵,而國家對生產時的環保有一定的標準,因此我們在整個生產線當中配備了兩臺除塵器,以實現綠色環保生產。具體工藝流程如下:
先通過給料機將200mm的煤矸石均勻送到顎式破碎設備,顎破將200mm的煤矸石破碎到30mm左右,然后使用對輥制砂機將30mm的煤矸石破碎到0-4mm,至此制砂完成(除塵器2臺破碎設備用1臺、料倉頂部用1臺)。如果需要制漿的話,需要繼續進行下一步:使用斗式提升機將0-4mm的煤矸石粉提到料倉,料倉儲存0-4mm的煤矸石粉供球磨機備用。之后使用振動給料機將煤矸石粉均勻地給球磨機送料,0-4mm的煤矸石粉被磨成200目的煤漿。

該煤矸石制砂工藝生產線具有以下特點:
①效率高,從原石到成品一氣呵成。
②經處理后的砂石成品品相好,符合國家基建用砂標準。
③環保性較強,復合國家要求的綠色生產標準。
④設備之間配合良好,可大大降低維護成本的投入。
作為采煤、洗煤過程中產生的固體廢棄物,大量的煤矸石堆積不僅占用土地資源,而且可能會造成土地、大氣的污染。利用煤矸石制砂實現了變廢為寶,使資源得到更加充分地利用,也有助于緩解我國砂石資源供應不足與市場需求得不到充分滿足的矛盾局面。
開元公司成立多年,具有十分豐富的生產與制造經驗,生產設備種類眾多,型號規格齊全。作為品牌廠家,我們具有十分完善的售前、售中、售后服務體系,在此我們承諾:凡購買我廠產品,對產品質量均實行三包,保修期為12個月。另外我們提供免費安裝調試服務,國內客戶均享受免費指派專門的售后工作人員,到達現場指導安裝調試(國外安裝需買方負責來回機票、食宿外,每人每天再付工資60美金)。在安裝完成之后我公司技術人員可以現場培訓操作人員,還可以留下1-2名專職技術人員免費協助客戶現場生產1個月,直到用戶滿意為止。買礦山設備,就到開元,選擇開元,選擇放心。如需了解設備詳細信息,歡迎致電我公司工作人員為您進行具體介紹。